|
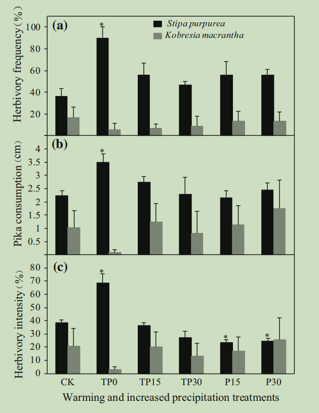
PE:降水增加可抵消2℃增温和鼠兔取食对针茅草原的不利影响高原鼠兔是青藏高原的特有物种,数量大,多栖息在土壤较为疏松的坡地和河谷地带。因被认为是草场退化的元凶,一直被当作灭杀的对象。青藏高原拥有全球海拔最高、面积最大的高寒草原和草甸,近30年来面临严重的退化压力。过度放牧、气候变化与鼠兔活动是草地退化的三个重要驱动因子。以往研究指出,过度放牧造成的植被盖度下降有利于高原鼠兔种群数量增大,从而进一步加速草地退化。但是,鲜有报道关于鼠兔活动对气候变化的响应以及气候变化与鼠兔活动的交互作用对草地植物生长的综合影响。我们目前仍缺乏数据解析鼠兔活动对植物的影响是否被气候变暖放大以及降水增加是否会减缓草地动植物对增温响应的敏感性。相关认识对我们理解全球变化背景下草地生态系统退化原因与驱动机制具有重要意义。 为此,中国科学院青藏高原研究所高寒生态重点实验室、青藏高原地球科学卓越中心罗天祥课题组基于纳木错增温增雨控制实验平台,解析了增温(+2℃)与增雨(+15%,+30%)对高寒草原优势植物(广布建群种紫花针茅和共优势种大花嵩草)生长和鼠兔取食活动的影响。结果发现:1)增温显著降低了2种植物的生长速率,增雨则明显促进植物生长(图1);2)增温显著促进高原鼠兔对紫花针茅的取食频度、强度和取食量,而增雨会显著减缓这一负效应;相对于大花嵩草,高原鼠兔偏好取食紫花针茅,这与紫花针茅具有较高的叶氮含量和比叶面积有关(图2);3)在降水无变化下,鼠兔取食会加剧增温对植物生长的负作用(两者净效应为负值累加);在降水增加下,增温与鼠兔取食对植物生长的净效应均为正值,其中,降水增加15%的正效应可抵消2℃增温和鼠兔取食的负效应(图3)。 研究结果表明,增温通过加剧土壤水分胁迫及促进高原鼠兔取食活动而对针茅草原植物生长产生显著负影响,增雨作用则相反。这对正确评估鼠兔在草地退化中的作用,以及全球变化背景下生态系统的有效管理提供了重要科学依据。 本研究得到国家自然科学基金项目(41830649,41301047,31170451)资助。研究成果以The effect of pika grazing on Stipa purpurea is amplified by warming but alleviated by increased precipitation in an alpine grassland 为题发表于 Plant Ecology杂志(博士后魏海霞为第一作者,罗天祥研究员为通讯作者)。 论文链接:https://link.springer.com/article/10.1007/s11258-019-00920-5
图1 生长季增温、增雨对植物生长速率的影响
图2 生长季增温、增雨对高原鼠兔取食频率(a)、取食量(b)及取食强度(c)的影响
图3 相对于对照处理,生长季增温、增雨及鼠兔取食对(a)紫花针茅和(b)大花嵩草的净效应 |


